The GX6115 has 15 high-current relays and three open collector relay drivers and a connector as shown in:

GX6115 Architecture
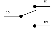
the GX6115 has 15 Form C (SPDT) relays:

A Typical GX6115 Relay
When the relay is activated, the Change Over (CO) terminal is connected to the Normally Open (NO) terminal. When the relay is deactivated, the CO terminal is connected to the Normally Closed (NC) terminal. After the board is reset, all relays are deactivated.
A Form C, 7.0A relay is used. The relay has one part per package that is connected to normally closed contact and upon activation switches to the normally open.
Note: The single contact ensures a break before make when switching. This prevents potential momentary short circuit between NO and NC.
The GX6115 has three open collector drivers as shown in the figure below:

A Typical GX6115 Open Collector Driver
Each open collector driver has a diode connected to a fly-back signal, which is available at the connector. All three drivers are connected via three diodes to the same fly-back signal. The fly-back signal can be connected to the external relays supply, thus providing suppression for voltage spikes generated by the relays’ coil.